In questo numero:
Mario de Miranda
EDITORIALE
La valenza sociale del progetto e della
costruzione dei ponti

Mario de Miranda, Marta de Miranda,
Mario Erba, Carlo Erba
IL PONTE STRALLATO IN VAL DI PAI
IN PROVINCIA DI SONDRIO

Pierangelo Pistoletti, Luca Crespo, Marcello Vaccarezza,
Piergiorgio Malerba, Paolo Galli, Alessandro Albertin
L’adeguamento strutturale e funzionale del
Ponte San Michele sull’Adda

Giuseppe Matildi, Carlo Vittorio Matildi,
Valentina Antoniani, Stefano Isani
LE POTENZIALITÀ DEI PONTI A VIA
INFERIORE: LA RICOSTRUZIONE DEL
PONTE II GIUGNO A SENIGALLIA

Vincenzo Piluso, Alessandro Pisapia
INSTABILITÀ LOCALE IN CAMPO PLASTICO
DI SEZIONI SCATOLARI IN ALLUMINIO
SOGGETTE A COMPRESSIONE UNIFORME

P. Castaldo, G.Amendola
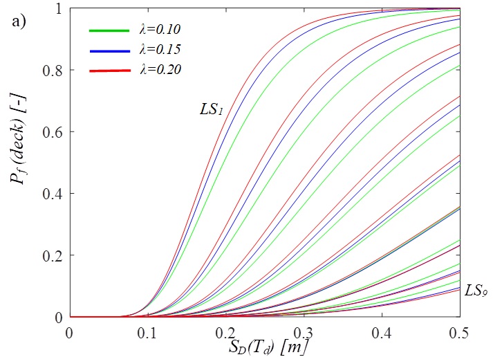
SEISMIC RELIABILITY OF ISOLATED
BRIDGES
Alessandro MENGHINI, Ester BOZO
,
Carlo Andrea CASTIGLIONI
APPLICAZIONE DELLE RECENTI LINEE
GUIDA AL CASO STUDIO DI UN PONTE
METALLICO A DOPPIO IMPALCATO
STRADALE E FERROVIARIO

Emanuele Cagnolati, Loris Giovannini
SOLUZIONI INNOVATIVE PER IL VARO DI
IMPALCATI. IL CASO DEI PONTI AD ARCO
DELLA NUOVA LINEA AV NAPOLI-BARI

Andrea Campioli
STRUTTURA E ORNAMENTO
Ponte ciclo-pedonale Golda Meir, Berlino, 2021
Acquista qui il n.6/2021 di Costruzioni Metalliche

